1:印染、染料工业污染概况
印染是对纺织材料进行再加工的过程,整个生产过程,包括预处理、染色、印花和整理等四个过程。预处理、染色、印花和整理都需要大量的水,用于输送、洗涤、分散物料及冷却设备等。虽然生产过程中也有回收、处理、再用,但仍有大量废水排入水体,造成水环境严重污染。印染废水是指印染、煮练、漂洗等在生产过程中排出的各种废水的总称。由于纺织材料种类繁多,生产产品的花样更多,在生产过程中使用的染料、助剂等化工原料的种类非常多,因此,印染废水的水质差别很大,一些典型印染废水的主要成分见表1-1
各种印染废水的主要成分
| 所用染料种类 | 废水中主要污染成分 |
| 直接染料 | 染料、元明粉、食盐、纯碱、表面活性剂 |
| 活性染料 | 染料、烧碱、磷酸钠、小苏打、元明粉、尿苯、表面活性剂 |
| 酸性染料 | 染料、元明粉、硫酸铵、醋酸、硫酸、表面活性剂 |
| 酸性媒染染料 | 染料、元明粉、醋酸、重铬酸盐、表面活性剂 |
| 金属络合染料 | 染料、元明粉、硫酸、醋酸钠、硫酸铵、表面活性剂 |
| 阳离子染料 | 染料、元明粉、醋酸钠、醋酸铵、纯磺、表面活性剂 |
| 还原染料 | 染料、元明粉、保险粉、纯碱、红油 |
| 纳夫妥染料 | 染料、醋酸钠、烧碱、盐酸、亚硝酸钠、表面活性剂 |
| 分散性染料 | 染料、各种载体、保险粉、表面活性剂 |
表1-1
2:印染工业废水的产生
印染过程四个工序都排出废水,如预处理阶段排出退浆废水、煮炼废水、漂白废水。染色阶段排出染色废水。印花阶段排出印花废水和皂洗废水。
一般印染废水的pH值为
(1)退浆废水:水量较小,但污染物浓度高,其中含有各种浆料、浆料分解物、纤维素、淀粉、碱和各种助剂。退浆废水成碱性,pH值在12左右。上浆以淀粉为主的(棉布)退浆废水,其COD、BOD值都很高,可生化性较好;上浆以聚乙烯醇(PvA)为主的(如涤棉经纱)退浆废水,COD高而BOD低,废水可生化性较差。
(2)煮炼废水:水量大,污染物浓度高,其中含有纤维素、果酸、蜡质、油脂、碱、表面活性剂、含氮化合物等,废水呈强碱性,水温高,呈褐色。
(3)漂白废水:水量大,但污染较轻,其中含有残余的漂白剂、少量醋酸、硫代硫化钠等。
(4)丝光废水:含碱量高,NaOH含量3%~5%,多数印染厂都通过蒸发浓缩回收,所以,丝光废水一般很少排出,经过多次重复使用最终排出的废水仍呈强碱性,BOD、COD、SS均较高。
(5)染色废水:水量较大,水质因所用染料的不同而不同,其中含浆料、染料、助剂、表面活性剂等,一般呈强碱性,色度很高,COD较BOD高得多,可生化性较差。
(6)印花废水:水量较大,除印花过程的废水外,还包括印花后的皂洗、水洗废水,污染物浓度较高,其中含有浆料、染料、助剂等,BOD、COD均较高。
(7)整理废水:水量较小,其中含纤维屑、树脂、油剂、浆料等。
3:印染废水特性:
(1)无机盐浓度高:主要是氯化钠,少量硫酸钠,氯化钾及其它金属盐类。
(2)废水量大,色度高,毒性大。染料、颜料和助剂等结构中的硝基、胺基、苯、萘、蒽醌类化合物,涂料中酚类毒物以及铜、铬、锌、砷等重金属元素具有较大的生物毒性。其中酚类是一种原生质毒物,水体中各种生物都会因酚类物质中毒影响生长和繁殖。
印染废水的特征可概括为
4:染料、印染工业废水中圬染物对环境的危害
(1):需氧物质
预处理、染色、印花和整理等过程中,溶出的原料组分,如浆料、染料助剂、表面活性剂、纤维素、油脂、含氮化合物、醋酸等,这些物质易被微生物降解,如果它们随废水排入水体,将消耗水中的溶解氧,在耗氧速度大于水体的复氧速度时,会造水中缺氧。当氧浓度小于4mg/L时,鱼类则会死亡,小于1~2mg/L 时,兼性微生物与厌氧微生物则大量繁殖,进而使水体腐败,臭味扑鼻。
在一定条件下,消耗水中溶解氧的量,即可反映废水中可被微生物分解有机物的量。消耗溶解氧的量称为生化需氧量(Biochemical Oxygen Demand),简称BOD。一般以20C0下,5d的生化需氧量作为水质参数,写成BOD5(20C0)其单位为mg/L。
自养菌能够利用水中的氧,去氧化水中的NH3成为硝酸盐或亚硝酸盐。但是一般要经过8~10d的培养,这种菌才能达到明显的数量,产生明显的,可以测出的耗氧量。BOD5基本上是含碳有机物生化降解的需氧量,也称第一阶段需氧量,或碳化阶段需氧量。
在印染生产过程中添加的各种活性剂和助剂,有机中间体如N-乙基-N-氰乙基苯胺的苯磺酸脂、中间体生产的基本原料苯、萘、蒽醌类有机物,芳香胺及大分子碳水化合物均难以生物降解,常用强氧化剂催化氧化,测定所消耗的氧化剂中的氧量,表示废水中的有机物浓度。常用的氧化剂为重铬酸钾、催化剂为硫酸银,浓硫酸提供酸性环境,氧化1L水中的有机物的氧量记为CODcr,单位为mg/L。CODcr几乎能氧化水中所有的有机物(除苯类有机物例外)。
总有机碳(TOC)是表示废水中所含全部有机碳的量,它的测定方法是通过有机物质全部氧化成二氧化碳和水,然后再测定二氧化碳的量。
用BOD5与COD的比值来判断废水的可生化性,其值越大,可生化
(2)、合成有机物
印染工业废水中合成有机物主要是表面活性剂酯酚,染料、浆料,还原剂和中间体等化合物,它们的共同点是除了具有潜在的毒性外,还能影响到接纳水体的复氧以及光向水中的透射。
二:印染废水的处理方法:
印染废水的处理方法:
1:物理法:其中最常用的是吸附法(主要用于三级处理),常用的吸附材料有活性炭、活性硅藻土、煤渣和活化媒等。
2:化学法:主要有混凝沉淀法、混凝气浮法、臭氧氧化法、光氧化法、电解气浮法等。
3:生物处理法:包括厌氧生物处理法和好氧生物处理法,好氧生物处理法中常用的有表面曝气活性污泥法、高浓度活性污泥法、生物转盘、生物接触氧化、生物铁法和SBR等。印染废水成分复杂,处理难度较大,在实际工程中常采用组合处理工艺。对可生化性较好的印染废水,采用一级或二级生物处理工艺;对可生化性一般的废水,可采用厌氧生物处理与好氧生物处理相结合的工艺,也可采用好氧生物处理与物化法串联工艺;一些含有对微生物具有毒害或抑制作用的废水,先采用物化法进行预处理,再进行生物处理;排水量较小时,也可采用纯物化处理工艺。
4:其它处理工艺:如投菌生物处理法、高效絮凝剂。
5:裂解处理
裂解处理是以N型半导体的能带理论为基础,以N型半导体作敏化剂的一种敏化氧化法。当敏化剂能量大于禁带宽度时,电子被激发,跃过禁带进入导带,则在价带上产生相应的电子-空穴,从而引发反应。水溶液中的催化氧化反应,在半导体表面失去的电子主要是水分子,水分子经一系列变化后产生氧化能力极强羟基自由基 OH,氧化各种有机物,并使之矿化为CO2
裂解处理一般动力学方程描述:
![]()
r——反应速率;
Ce——反应物浓度;
K——表观吸附平衡常数;
H——发生于敏化剂表面活性位置的表面反应速率常数。
如果投加H2O2、KB
催化氧化以N型半导体为催化剂,各种催化剂活性顺序:TiO2>ZnO>WO3。TiO2是常用的催化剂,主要有锐钛型和金红石型晶型。TiO2的化学性质,光化学性十分稳定,无毒价廉,货源充足。TiO2是一种半导体氧化物,它有充满电子的价电子带和缺电子的导带,在能级激化状态价电子带上留下的空穴有氧化性,导带上的电子具还原性,降解物在TiO2表面发生氧化还原后,价电子带又得到电子,价带上电子发生跃迁,故将使用过的TiO2通过还原,重复使用,不影响其催化活牲。
2:工艺缺陷
该工艺的缺点主要有
(1) 激化能利用率低,耗电量较大(1.3kW)。
(2) 管套易被污染物附着,影响透率。
(3) 高压电晕(电子束)发生器偏转角低(720)有一定的死角。
(4) 对PH有一定的要求(3~10),硫化染料废水必须将PH值调到5以下再进入反应器,大于要求值时处理效率按指数(反应动力)降低。
(5) 对污泥回用有强制性要求。
三:水质水量
1:水量
目前该废水排量4000m3/d,污水处理站建成后,采用三班24小时连续运转,设计废水处理能力4500m3/d。
2:水质及处理要求(以重庆永红5000m3,四川威克力600m3为样本)
厂方提供的污水水质情况见表3.1.1
废水水质指标及排放标准 表3.1.1
| 序号 | 名称 | pH | CODcr(mg/L) | BOD5(mg/L) | SS(mg/L) | 色度(倍) |
| 1 | 进水 | 9~12 | 630~1400 | 230~870 | 230~460 | 180~720 |
| 2 | 平均 | 10 | 1100 | 600 | 360 | 500 |
| 3 | 处理要求 | 6~9 | ≤100 | ≤30 | ≤15 | ≤50 |
四:设计原则
1:严格执行有关环境保护的各项规定,废水处理后达到《国家污水综合排放标淮8978-96》中的二级新建企业1类排放标淮。
2:以工艺结构合理的复级裂解工艺为主体工艺。
3:处理系统有较大的灵活性,以适应废水水质、水量的变化。
4:管理维修方便,避免产生二次污染。
5:自动化程度高,VXI系统总线控制模拟。
6:占地面积小,处理
7:污泥产生量小、每1000m3废水处理后产生综合污泥64.3kg。
8:无二次污染,废水处理后水质清澈透明,CODcr、BOD5平均指标低于4-1标准中指标。
五:污水处理工艺流程
1:工艺设计
印染废水处理工程工艺设计综合了威克力染纱废水与重庆永红织造责任有限公司印染废水处理工程实列的优点,进一步优化构筑而成。运行结果表明,该处理方法既克服了常规工艺不易操作、占地面积大的缺点;同时也提高了对印染废水的处理效果,而且非常稳定的对废水的零排放打下坚实的基础。
永红织造责任公司印染厂,其废水呈弱碱性,使用分散、直接、活性等多种染料。废水中含有大量带显色基团(—N═N—、—N═O等)及极性基团(—SO3Na、、、—OH等)的芳烃、杂环类有机化合物及NaCI、Na2SO4、、Na2S等无机盐,废水水质见表。
表5.1永红印染厂废水水质
| PH | CODcr(mg/L) | BOD5(mg/L) | SS(mg/L) | 色度 |
| 7~12 | 1600~2300 | 470~1640 | 180~530 | 190~1300 |
测定项目的分析方法采用《水和废水标准监测分析方法》(第3版)
水力停留时间和测试结果如图5-1 、图5-2、表5.2
图5-1:废水停留时间

图5-2材料膨胀率

表5.2系统常温下运转测试值
| PH | 停留时间min | 膨胀率 | 脱色率% | COD去除率% |
| 4~11 | 10 | 3 | 82.7 | 78.9 |
| 2~11 | 15 | 3 | 85.4 | 92.1 |
2: 工艺流程
污水处理工艺流程如图5-3所示

1:调节池 2:原水泵 3:流量计 4WL40A2H反应器 5:过滤池
6:空气流量计 7:鼓风机
3:流程说明
生产线排出的废水,通过厂区污水管道,汇集到安装有粗细二道格栅的调节池,去除大颗粒的固体悬浮物,并调节废水水量、均衡水质。然后由一级提升泵提升至复级离子混合反应器,经物理沉淀、化学断链、单键破坏、生物降解、光崔化氧化等过程达到脱色混凝沉淀、氧化还原等机理脱除废水中的污染物质。其出水提升到物理过滤池过滤后,自流到清水池经计量后,备工艺回用或排放,排放水达到国家排放标谁。
复级离子反应器产生的废污泥都排入污泥干化池重力澄清后(约需30分钟)排出清液,沉淀污泥混入然料然烧(其热值不低于2300大卡)。
六:主要处理设备和构筑物的设计参数
1:废水水量和水质调节
(1)、废水均匀混合
印染工序排出的生产废水,水质水量随生产过程而变化,许多工序是间歇性操作,水质水量变化很大,污染物的性质、浓度、PH值及水温都有很大的差别。许多生产工艺排水
而水处理装置,需要废水的水质与水量是稳定或基本稳定的。实际上调节池也是水的预处理设施,通过这一设施,酸、碱废水可以中和,不同温度的废水可以温度均一,不同浓度的废水可以混合均匀,然后,根据水质情况或进一步处理或直接排放。
为使水处理装置中的管道、设备及构筑物正常工作,不受废水的水质与水量变化的影响,调节池的设置必需要满足系统工艺及反应设备的要求。
(2)、调节池的设计
调节池的结构如图6-1所示。这种形式调节池的出水槽是沿池的对角线方向设置的。池内设有若干纵向隔板。废水经左右两侧的水槽进入池内。由于隔板之间形成的水流通道长度不同,同一时间进入池内的废水,需要停留不同的时间才能达到出水槽。反而言之,出水槽内,同一时刻的废水是不同时刻流入池内的,在槽中相遇并混合,实现水质均一。

图6-1对角线进水调节池
如图6-1所示,调节池液面可以上下自由波劫,当进水量大于出水量时,则池内应能贮存盈余,反之,应能补充短缺,以此实现水量调节。池底设置沉渣斗,通过排渣管定期排渣。
三、调节池的设计计算
调节池的设计计算的主要内容是池容积的计算。其计算公式为:
V=qt
式中 V——调节池容积,660M3;
t——废水在调节池内的停留时间,3h
q——t小时内废水平均流量,m3/h。
对角线式调节池有
V=qt/1.4
式中 1.4——经验参数。
确定调节池的均衡时间和容积,设计调节池时按最不利的情况,即流量和浓度在高蜂时的区间计算,调节时间越长水质水量越稳定,根据工厂废水排放情况,建筑场地,资金等具体条件,确定调节时间3.0h,调节池设计根据下式计算而得。
调节池平均出水浓度
![]()
C&mda
c1,c2…cn—废水在各时间段t1,t2…tn内的平均浓度,mg/L;
q1,q2…qn—废水在各时间段t1,t1…tn内的平均流量m3/h;
t1,t2…tn—时间段(h)总和等于T;
q—24小时内平均废水量
(2):调节池容积:

图6-2调节池形式及结构
![]()
容积为 V=qt/2a
式中 a——废水在池内不均匀流动的容积利用系数,一般取0.7。
有效容积V=660m3
(3):调节池水力停留时间和体积
调节池采用地埋式钢筋混凝土结构, (HRT)3.0h,尺寸20.0m×8.0m×4.5m. (保留高度0.4m)在调节池中安装WZ-12型顺序液位计1台,自动控制反应器参加工作的数量,即高水位时全部参与工作,低水位时按顺序启动反应器工作。同时连续跟踪显示水池液位。
2:曝气池
(1):曝气反应的简单数学模型

6-3完全曝气稳定系统流程图
图中V—池子容积;
X—材料质量浓度;
Q—废水的体积流量;
S0—基质进口浓度;
S—基质出口浓度(也即曝气池内基质浓度)。
设&为水力池内停留时面,则&=V/Q。
设系统材料平均停留时间是&c,则有:
&c=反应器内材料质量/材料流失速率=VX/QX=V/Q
在完全混合系统内,水力停留时间等于材料平均停留时间。这种系统是唯一的&=&c的系统。或者说,对于其他类型处理系统,不可能有这种关系。
质量平衡:
质量变化速率=反应速率-质量外流速率
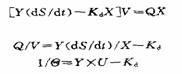
V(Dx/dt)=[Y(ds/dt)-KdX]V-QX
为实现稳定操作,则应有dX/dt=0,因此得到:

此推导仅适用于完全混合曝气池。
设去除率
![]()
Monod方程:改写为
![]()
则得
![]()
基质与材料的比表示系统的污染物去除效率,即
![]()
则有
![]()
对所讨沦的系统去除有机物效率取决于材料的平均停留时间,也是取决于水力停留时间,因为在这一系统中二者是相等的。如果动力学系数及去除率一定,则系统容积的大小就可以被确定了。
悬浮固体浓度计算
对于一定时间则有:
又由Dx/DT=Y(ds/dt)-Kd得
I/&c=Y(ds/dt)/X-Kd
动力学系数
| 系数 | 系数值 | 系数 | 系数值 |
| K/d-1 | 2.24 | Y/mg.mg-1 | 0.4 |
| Kd/d-1 | 0.12 | Ks/mg.L-1 | 150.0 |
(2)曝气池结构
曝气池采用钢筋混凝土结构,构造如图所示
(3)曝气池溶积V
V=370m3 HRT=1.6h E=2.1 保留高度0.5m
(4)外形尽寸10m×7.5m×5m
3:沉淀池
(1)沉降基础
从废水中分离出密度比废水大的合成材料,借助重力作用,从废水中沉降下来,使其与水分离。沉淀池的沉降经由离散粒子沉降、聚合粒子沉降、压缩沉降。在离散粒子沉降中,沉降粒子之间没有相互作用。在聚合粒子沉降中,聚合物之间存在有限的相互作用,较高密度和较大直径的聚合物沉降较快,在其沉降过程中,与较缓慢沉降的聚合物作用,使颗粒形状、粒径及密度都发生变化。其沉降速度受网络结构的影响。
在压缩沉降过程中,悬浮物
(2)离散粒子沉降
离散颗粒沉降也称自由沉降。假定:颗粒为一个密度为Pp、直径为d的球形;在沉降过程中,其形状、粒径及密度均不变;水是静止的,不可压缩的;颗粒的下沉运动过程中不受器璧及其他颗粒的影响;颗粒在运动开始后,瞬间就达到等速运动的状态.则颗粒沉降速vs,可用下式表示:
![]()
式中 g——重力加速度;
p——水的密度;
Cd——颗粒在水中下沉时的阻力系数。
如能得到阻力系数,即可确定沉降速度。阻力系数是雷诺数NRe的函数,雷诺数NRe可由下式表示:
NRe=dusp/u
式中u代表水的黏度,其他各量仍如上所述。
球状颗粒在水中沉降,围绕颗粒的水流呈层流状态,即NRe<2,刚阻力系数Cd为24/NRe;当2<NRe<500时,Cd=185/(NRe)0.6;当NRe>500时,Cd=0.4。在沉淀池内,微粒沉降过程中,其周围水流的NRe大多处于层流区或过渡区内。对任一区域,取得相应的沉降速度是可能的。层流区域的沉淀速变表达式。
![]()
对沉降过程有决定性影响的参数是以平方出现微粒直径,絮凝是增大微粒直径的方法,并对微粒密度也有一定的影响。水的密度和黏度是由沉降的废水温度所决定。提高温度,将降低水的密度和黏度,从而提高沉降速度。
(2)理想沉淀池
把沉淀池理想化,是沉淀池的设计基础。理想沉淀池包括进入口区、出口区、沉淀区和污泥区。

图6-5理想沉淀池
1-进口区 2-出口区 3-沉降区 4-污泥区
理想沉淀池的基本假设是:
①在池内沉淀区,沉降状态与静置沉降情况相同:
②水流是稳定的,水流进人沉淀区时,各种悬浮物颗粒的浓度在垂直水流方向的断面上是均匀分布的;
③颗粒进入污
进入沉淀池的离散颗粒,处于图中a点的位置上,在这一点上,颗粒要被去除需要历时最长。如果这个颗粒能够被去除,与这一颗粒同处于进口断面上且与其粒径相同、沉速相等的其他颗粒也都能被去除;按假定,该颗粒应沿对角线方向下沉。其他颗粒则沿着与对角线平行且位于对角线下方的直线方向下沉,它们是先于该颗粒达到池底而被去除的。
沿着对角线或与对角线平行直线运动的粒子具有的沉降速度称为截留速度以u0表示。位于α点上的具有沉降速度为u0(m/h)的颗粒沉到池底,即达到O点所需要的时间为t(h):
t=H/u
t=L/v
水在池内水平方向流动的速度,也视为颗粒水平移动速度。
v=Q/HB
t=LHB/Q
LHB/Q=H/u0
或 u0=Q/LB=Q/A[m3/(m2·h)]
任何一个进入沉淀池的离散型颗粒,只要其沉降速度小于截留速度就不可能被去除;然而如果这个颗粒不是进入最大沉降高度,而是进入其下方某一位置上,就有可能被去除,并且其去除率为是这种颗粒在全部悬浮颗粒中所占的分数。
(3)沉淀池的设计
设计离散型颗粒沉淀时,截留速度和沉降时间是必须给出的。截留速度和沉降时间的关系可以通过试验确定。以此确定沉淀池的面积和水深。

图6-6 去除率与t的关系 图6-7去除率与表面积的关系
沉淀池设计应在考虑沉淀池内水的流量及流速分布不可能达到理想的均匀程度;沉淀池容积不可能充分利用的情况下;同时还应考虑了温度变化、风向、池进出口影响等因素,这些都可能引起悬浮颗粒沉降效果的下降。因此在设计该沉淀池时,将表面负荷率乘以1/(1.25~1.75)的系数,沉降时间t乘以 1.5~2.0的系数。

图6-8颗粒沉降轨迹
1-离散颗粒 2-絮凝颗粒
悬浮颗粒沉降过程中,絮凝颗粒之间互相碰撞、聚集,改变了颗粒原来的大小、形状及密度,颗粒沉降速度也随之改变。在沉淀池中颗粒沉降轨迹是一条曲线,其去除率不仅同截留速度
二沉池污泥、混合污泥及高浊度废水在沉淀池中的沉降特性,如图6-6所示。即沉降开始后,立即出现清水层A,它与下面的悬浮B(浑液面)之间有一个明显的界面,在图中表示为1-1面。悬浮层B为受阻沉降层,该层内浓度均匀,在形成1-1面的同时,沉淀池底部出现密实层D,其中悬浮物浓度也是均匀的;B层与 D层之间是过渡层C,其悬浮物浓度由上向下逐渐增加,C与D层之间分界面称为2-2面。1-1面以vs速度下降,2-2面以v速度上升,从沉降开始,历时t2后,两个面相遇,C层消失。此时D层浓度变为C,处于临界浓度,此时D层开始压缩。

图6-9区域沉降图 6-10沉淀池中没泥分布示意图
A-清水层 B-受阻层
C-过渡层 D-压缩层
(4) 沉淀池工况设计
同其它工业废水处理一样,印染废水催化裂解处理工程的沉淀池、污泥浓缩池的颗粒沉降曲线的测定是沉淀池设计的基础。
在调节池前设置机械格栅用来去除大块悬浮物与漂浮物,保证管道、阀门及泵的通畅无阻。沉砂池预先除砂,防止沉淀池和配水渠道内积砂,污泥泵堵塞、磨损。为防止沉砂中夹带有机物,引起后续处理上的麻烦,常采用曝气沉砂池。
一、二级沉淀池中,采用折流沉淀,安装污泥回流装置。不加混凝剂。悬浮固体及BOD的去除率如图所示。

图6-11-SS去除率图 6-12-BOD5去除率
沉淀池采用的折流沉淀,中部设有污泥回流装置。结构如图,池体采用钢筋混泥土结构。在池中心下方安装污泥浓缩回流装置。废水进水管进入池内,沿重力方向流动,经溢流堰流出。将沉降的污泥推向位于池中央的污泥坑,然后用污泥泵送出,回流入反应器。以防止污泥滞积而产生厌氧分解。池底部坡度约为1:12,向中心倾斜。沉淀池的过流率为16M3(d·m2),进人沉淀池的悬浮固形物含量为350~600mg/L,按90%去除效率计,沉淀池溢流水乘于35~60mg/L悬浮固体。沉淀后的废水直接进入
1: 水力停留时间HRT=4H 保留高度0.5M
2: 有效容积V=850M3
3:外型尺寸20.0m×10.0m×6.0m
4:过滤池
(1)过滤池填料及其用途
废水通过滤池时,填料截留废水中悬浮物质,并把废水中胶体物质吸附到自己的表面,其中有机物使微生物迅速繁殖,微生物又进一步截留吸附废水中悬浮物及胶体物质,逐渐形成具有生物化学活性生物膜。
废水流过生物膜时,液相底质浓度较高,边界液层及生物膜内底质浓度较低,加上流动液体与边界液层相互结合,废水的底质及溶解氧可以扩散进入生物膜内,底质被利用。微生物在氧的参加下对有机物进行分解和机体新陈代谢。废水被净化,产生的无机物和二氧化碳沿着相反方向,从生物膜经过附着水排到运动着的废水及空气中,随着废水处理过程的发展,生物膜厚度不断增大,膜表面尚能处于好氧状态并保持足够的营养,而膜内部则因营养物氧的不足,造成微生物自身氧化,生物膜脱落,填料表面重新吸附生长生物膜直至脱落,从吸附到脱落是生物膜生长的一个周期,整个反应器的生物膜各部分交替脱落的,过滤池内生物膜数量保持一定的动态平衡。
过滤池内生物膜泥龄长,填料上生长着大量的硝化菌和丝状菌,硝化效果很好。具有管理简单,不产生污泥膨胀,剩余污泥量少。生物滤池内主要部分是填料、池壁、布水系统和排水系统。废水上部呈滴洒状喷淋而下,滤料表面生物膜对废水中有机物进行吸附作用,从而净化废水。
(2)滤池填料生物反应动力学
生物滤池基质降解机理与活性污泥法基本相同,生物滤池是一种推流式的反应器,BOD5降解符合一级反应动力学特征。

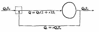
6-14生物滤池基本流程图
![]()
![]()
Si——进入滤池中混含液的BOD5浓度。无回流时,Si=S0;
Se——滤池出水BOD5浓度;
S0——原废水BOD5浓度;
K—&mdas
t——废水在滤池中反应时间。
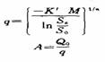
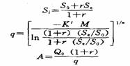
![]()
M-一滤床的深度,m;
q——滤床的面积水力负荷,m3/m2·h;
C和n——常数。
滤池基本数学模式:
![]()
式中 K′——与基质降解性能有关的常数(纺织厂废水K′=0.016~0.040,医药废水0.020)K'=KC。
n和K′的确定
根据生物滤池试验数据,利用图解法求得n和K′值。

图6-15

![]()
对不同的水力负荷q和池深M,有对应不同q值。
⒉求n
![]()
3.求K′
![]()
![]()
![]()
(3)滤池面积和水力负荷的计算
计算时先设定滤床深度M值。
1. 无回流情况水力负荷面积

1. 有回流情况下水力负荷,面积

(4):滤池需氧量
单位面积滤池需氧量:
![]()
ɑ'——每降解1kgBOD5所需的氧公斤数,kg/kg;
Sr——去除BOD5的数量=进水BOD5-出水BOD5,kg/d;
b'——单位重量生物的需氧量系数,取b′÷0.18kgO2/kg活性膜·d;
D——每m3填料生长的活性生物膜量,kg/m3。
活性生物膜量要通过实测上、中、下三层填料的平均值,实测废水低负荷滤池生物膜污泥为4.5-7.0kg/m3,高负荷时为3.5-6.51kg/m3。采用自然通风便可满足供氧要求。
(5)过滤池结构
过滤池采用半地埋式钢混结构,滤池结构如图所示,滤池外部由滤池池体、进水管、出水管、冲洗水管、冲洗水排出管等管道及其附件组成;滤池内部由冲洗水排出槽、进水渠、滤料层、垫料层(承托层)、排水系统(配水系统)组成。
该池的设计参数:
1:停留时间HRT=2.40h
2:有效容积V=520m3 衰减负荷2.0m3/(m2&midd
3:外型尺寸12.0m×7.5m×5.0m
. 
图6-16过滤池
5:清水池
过滤后出水进人清水池,以便对水质监测和回用,池内安装了水质水量监测与控制设备。该池采用钢筋混凝土结构,池顶用预制水池盖板封盖,设计有效容积25.0m3,外型尺寸5.0m×3.0m×3.0m.
6:污泥干化池。
污泥干化池采用地下式钢筋混凝土结构,将反应器乘余污泥自然干化处理。
(1) 设计污泥日产生量:4500×64.3/1000
(2) 设计干化池日处理量: 400.0Kg ,污泥含水率92%
(3) 有效容积:60.0m3,外型尺寸10.0m×2.0m×4.0m
七:废水处理中心配套设施
1:提升泵
该水泵的作用是将调节池中的生产废水提升至复级离子反应器。独立采用手动和VFD075A43H(协议安装)自动两套控制系统,泵的出口安装流量计进行水量计量:
一级提升泵的技术性能参数:
型号IHG40—250,Q=200m3/h,H=18m,N=7.5kw 数量:1台
2:罗茨鼓风机
型号:3R52WD Q=37m3/min,配套电机型号:Y132S—4 N=7.5kw
3:催化裂解反应器
型号:WL40A2L,Q-40m3/h,
数量:4500m3÷24h÷40m3/h=4台
八:操作控制间和化验室
风机房的窗户安装防噪声的百叶窗,操作控制间内安装VX2仪表总线控制设备、电控设备、COD在线分析仪、PH仪等。化验分析室配备有常规分析仪器和设备。
有效容积v=8.0m×4.0m×6.0m
九: 生产班次和人员安排:
污水处理站人员配置为2人:监管1人,分析化验人员1人,连读24小时自动运行,VXI(协议安装)巡回管理、检测与时实控制以及故障提示。
相关信息 







推荐企业
推荐企业
推荐企业