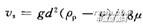
离散粒子沉降离散颗粒沉降也称自由沉降。假定:颗粒为一个密度为Pp、直径为d的球形;在沉降过程中,其形状、粒径及密度均不变;水是静止的,不可压缩的;颗粒的下沉运动过程中不受器璧及其他颗粒的影响;颗粒在运动开始后,瞬间就达到等速运动的状态.则颗粒沉降速vs,可用下式表示:
式中 g——重力加速度;p——水的密度;Cd——颗粒在水中下沉时的阻力系数。如能得到阻力系数,即可确定沉降速度。阻力系数是雷诺数NRe的函数,雷诺数NRe可由下式表示:NRe=dusp/u式中u代表水的黏度,其他各量仍如上所述。球状颗粒在水中沉降,围绕颗粒的水流呈层流状态,即NRe<2,刚阻力系数Cd为24/NRe;当2<NRe<500时,Cd=185/(NRe)0.6;当NRe>500时,Cd=0.4。在沉淀池内,微粒沉降过程中,其周围水流的NRe大多处于层流区或过渡区内。对任一区域,取得相应的沉降速度是可能的。层流区域的沉淀速变表达式。
对沉降过程有决定性影响的参数是以平方出现微粒直径,絮凝是增大微粒直径的方法,并对微粒密度也有一定的影响。水的密度和黏度是由沉降的废水温度所决定。提高温度,将降低水的密度和黏度,从而提高沉降速度。
相关信息 







推荐企业
推荐企业
推荐企业