天然棉纤维纺织品吸汗性好,不易产生静电,染色效果佳,穿着舒适,但其易起皱,洗后需熨烫处理。因此,天然纤维纺织品的抗皱整理得到了广泛关注。目前,市场上应用较多的抗皱整理剂为2D树脂、多元羧酸化合物,这些整理剂普遍存在甲醛含量超标或明显降低织物强力等缺陷。
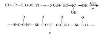
试验以端羟烷基聚硅氧烷、氨丙基三甲氧基硅烷、端羟基聚丁二烯(HTPB)、三羟甲基丙烷(TMP)、二羟甲基丁酸、异氟尔酮二异氰酸酯等为主要原料,合成有机硅改性聚氨酯抗皱整理剂,具有“遥爪”式结构,其端基含有可反应基团硅羟基(-Si0H),其可与天然棉纤维中的羧基(C00H)、羟基(0H)等活泼基团反应产生交联,增强纤维间的作用力,提高天然纤维的弹性,达到抗皱不降强的目的。其可适用于棉、麻、及其混纺织物的防皱整理,整理后的织物无游离甲醛、强力下降小,服用性能提高,是一种新型的无毒、安全、无环境污染的“绿色环保”抗皱整理剂。
1 试验
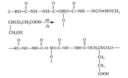
1.1 基本反应原理
1.l.2 扩链反应


1.2 棉织物的抗皱整理机理
棉纤维是纤维素纤维,基本结构单元是葡萄糖,含大量羟基(-OH),抗皱整理,就是加一种交联剂,与纤维素结构中羟基(-0H)反应,形成交联网络结构,达到抗皱目的。
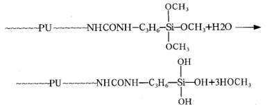
有机硅改性聚氨酯抗皱整理剂DF-816,就是一种交联性的抗皱整理剂,每个端基都含有三个活泼的硅羟基(Si0H),硅羟基(Si0H)与纤维素结构中羟基(-0H)在加热的过程中,进行脱水反应,形成交联网络结构,基本反应为:

1000mL四口烧瓶19×3/24上海市玻璃仪器厂
2000mL乳化罐 自制
单相串激电动搅拌机U200/80-220上海上微金丽电机有限公司
液晶电子拉力试验机BMT-2503深
端羟基聚丁烯(HTPB) 工业级淄博齐鲁乙烯化工有限公司;端羟烷基聚硅氧烷工业级美国道康宁公司;三羟甲基丙烷(TMP) 工业级德国巴斯夫公司;二羟甲基丁酸 工业级 日本化成株式会社;异佛尔酮二异氰酸酯(IPDI) 工业级德国拜耳公司;N-甲基吡咯烷酮工业级德国巴斯夫公司;氨丙基三甲氧基硅烷工业级湖北德邦化工新材料有限公司;三乙胺工业级常州市东顺化工有限公司;去离子水工业级自制。
1.3 合成步骤
向1000mL四口烧瓶中加入准确称量的端羟基聚丁二烯(HTPB)、端羟基改性聚硅氧烷、三羟甲基丙烷(TMP)、IPDI、N-甲基吡咯烷酮和其它助剂,搅拌升温到
-NCO含量达到要求时,加入二羟甲基丁酸和少量N-甲基吡咯烷酮稀释,在
当-NC0含量达到2.0-3.0%时,降温
当封闭完全,加入三乙胺,室温中和反应0.1h后,把反应产品放到乳化罐中,加去离子水进行分散乳化。取样分析,合格后过滤包装。
1.4 主要技术指标
外观 蓝光乳液
pH值 7±1
固含量 30±1%
1.5 检测方法
断裂强力按GB/T3923.1-1997《纺织品织物拉伸性能第1部分断裂强力和断裂伸长率的测定条样法》,在EMT2000电子拉力机上测定;
折皱回复角按GB/3819-1997《纺织品织物折痕回复性的测定回复角法》检测;
平挺度按GB/T13769-1992《纺织品评定织物经
甲醛释放量按GB/T2912.1-19⒅《纺织品甲醛的测定游离水解的甲醛(水萃取法)》测定。
2 有机硅改性聚氨酯抗皱整理剂DF-816的应用
2.1 浸轧工艺
基布:经退浆、漂白等前处理的棉织物
工艺:浸轧整理液(
取样检测,检测结果列入表1。
表1
| DF816(g/L) | 折皱回复角/° | 断裂强力/N | 强力保留率/% | 平挺度/级 | 甲醛释放量/(mg/kg) |
| 空白布 | 149 | 23.01 | / | 2.5 | 无 |
| 60 | 316 | 22.10 | 96 | 3.5 | 无 |
表1中数据说明,有机硅改性聚氨酯抗皱整理剂DF-816整理的织物,折皱回复角/°提高的显著,强力保留率在96%,平挺度/级达3.5级并且无甲醛检出。
3 结果与讨论
3.l NC0/oH的比值
NC0/0H的比值是决定聚氨酯性能和产品稳定性的主要因素
表2 NCO/OH的比值对织物抗皱效果的影响
| NCO/OH的比值 | 1.00 | 1.35 | 1.45 | 1.65 |
| 折皱回复角/° | 165 | 198 | 302 | 319 |
| 产品状态 | 白色乳液 | 白色乳液 | 蓝光半透明液体 | 蓝光液体 |
3.2 氨丙基三甲氧基硅烷
氨丙基三甲氧基硅烷是硅烷偶联剂,引入聚氨酯结构中,使端基的一个交联基团(-NC0)变成三个交联基团[-Si(OH)3],交联点增加,抗皱能力增强,表3列出了几种(即中间结构相同)不同封端的聚氨酯整理剂的抗皱性能。
表3 不同封端的聚氨酯整理剂的抗皱性能
| NaHSO3 | 甲乙酮肟 | 己内酰胺 | 氨丙基三甲氧基硅烷 | |
| 折皱回复角/° | 189 | 206 | 180 | 16 |
表3数据证明了,端基交联基团增加,交联点增多,抗皱能力增强。
3.3 端羟基聚丁二烯(HTPB)
端羟基聚丁二烯(HTPB)具有可反应的碳碳双键(C=C),聚丁二烯橡胶本身就具有优异的弹性,由其合成的聚氨酯的弹性、抗皱性能与普通聚酯、聚醚合成的聚氨酯的弹性、抗皱性能是不同的。
采用分子量2000,端羟基聚丁二烯(HTPB)、聚醚PPG2000、聚四氢呋喃PTMG2000和聚己内酯PCL200O合成的聚氦酯,抗皱性能列入表4。
表4 不同类型聚氨酯整理剂的抗皱性能
| PU类型 | HTBP型 | PPG型 | PTMG型 | PCL型 |
| 折皱回复角/° | 316 | 208 | 235 | 201 |
由表4可知,HTPB型聚氨酯整理剂的抗皱性能明显高于其它类型聚氨酯整理剂,这是因为HTPB含有乙烯基双键,使用过程中添加的自由基引发剂,在加热过程中产生自由基,引发HTPB乙烯基双键的自由基聚合,自身形成交联网络结构,增加弹性,增
加抗皱性能。
3.4 端羟烷基改性聚硅氧烷
端羟烷基取性聚硅氧烷在抗皱整理剂中的主要贡献,是提高织物的柔软性能,改善织物的手感,用量多少对织物的强度、抗皱性能也有影响。表5列出了端羟烷基改性聚硅氧烷用量多少,对织物的影响。
表5
| 端羟烷基改性聚硅氧烷(%) | 0.00 | 5.56 | 8.02 | 10.01 | 13.94 |
| 折皱回复角/° | 330 | 321 | 319 | 308 | 286 |
| 断裂强力/N | 20.9 | 21.1 | 22.0 | 22.7 | 23.0 |
| 手感 | 较粗糙 | 较柔软 | 柔软 | 柔软 | 柔软 |
从表5可以看出,随着端羟烷基改性聚硅氧烷的增加,折皱回复角/° (即抗皱性能)降低,断裂强力增加,柔软性能增加,这是由于端羟烷基改性聚硅氧烷的增加,而端羟基聚丁二烯(HTPB)的量相对减少,交联点减少,折皱回复角/°降低,则断裂强力、柔软性能增加。
3.5 三羟甲基丙烷(TMP)
三羟甲基丙烷是为有机硅改性聚氨酯抗皱整理剂DF-816提供“T”型结构,随着三羟甲基丙烷的用量增加,交联点增加,织物的抗皱性能提高。但是,三羟甲基丙烷用量太大
表6 三羟甲基丙烷(TMP)用量对织物抗皱效果的影响
| TMP/% | 0.0 | 1.5 | 3.5 | 5.5 | 9.5 | 16 |
| 折皱回复角/° | 186 | 217 | 263 | 299 | 323 | / |
4 结论
采用端羟烷基聚硅氧烷、氨丙基三甲氧基硅烷、端羟基聚丁二烯、三羟甲基丙烷、二羟甲基丁酸、异氟尔酮二异氰酸酯等为主要原料,NC0/0H为1.5合成出的有机硅改性聚氨酯抗皱整理剂DF-816,因为具有“T”型结构,端基含有可反应的“爪式”结构,硅羟基[-Si(0H)3]可与棉织物纤维结构中的羟基(-OH)进行交联反应,形成交联网络结构,显著提高棉织物的弹性、抗皱性能,且提高平整度,同时强力损失也相对较小,该抗皱整理剂不含甲醛、重金属等有害物质,绿色环保。
相关信息 







推荐企业
推荐企业
推荐企业