用户名: 密码: 验证码: 点击更换验证码 纺机网用户注册 找回密码 无锡站   CITME+ITMA   cantontex   shtex    纺机搜索   工博网
纺机网LOGO

纺织机械门户

 
再论粗纱机“恒离心力纺纱”
 
发布时间:2005/1/13 12:53:00 文章出处:本站整理
 
 
白予生(陕西省纺织工程学院) 王介生(西安工程科技学院)

    对棉纺高速粗纱机采用翼导卷绕方式,在减小离心张力、降低能耗等方面的机理进行了理论分析。分析表明:翼导卷绕方式的筒管转速始终比管导卷绕方式的筒管转速要低;当粗纱定量较重时,翼导卷绕方式能显著地减小粗纱机纺纱时粗纱的离心张力。解决高速粗纱机大纱时卷绕层易崩裂的问题,不能局限于降低粗纱机的纺纱速度,以求“恒离心力”纺纱的模式。由于现代高速粗纱机大都采用微型计算机控制,断头时易发生乱头和飞花的问题是可能解决的。由于采用翼导卷绕方式替代管导卷绕方式可提高生产率、减轻磨损、降低能耗,因而值得认真开发和研究。
1问题的提出
    有作者提出“恒离心力纺纱”的直接目的是为了减小高速粗纱机纺纱过程中在大纱时纱条所受的离心张力,以免粗纱条在纺纱过程中断裂;并且指出减小高速粗纱机纺纱过程中在大纱时的离心张力其主要措施是降低粗纱机的纺纱速度。笔者已提出“调低高速粗纱机的锭速并不是减小离心张力的惟一办法,也可能不是最好的办法”。因为这使“高速粗纱机的速度”大打折扣。为了探索高速粗纱机在锭速不变的条件下减小离心张力的途径,笔者提出把棉纺粗纱机的卷绕方式由传统的管导方式改为翼导方式,并从理论上分析了其可行性,愿与同行切磋。
    棉纺粗纱机应用管导的卷绕方式已经有100多年的历史,笔者认为,随着科学技术的发展和进步,棉纺粗纱机应用翼导卷绕方式的缺点将会被克服,由于其具有减轻磨损、降低能耗、减小离心张力的特征,因而有利于提高棉纺粗纱机锭速的优点将会被显现出来。
2翼导卷绕方式能降低简管的转速
    设n为筒管转速;N为锭翼转速;nc为管导卷绕方式的筒管转速;ny为翼导卷绕方式的筒管转速;nw为卷绕转速;D为卷绕直径;t为粗纱捻


    从图1和图2中可以看出,nG与nY两组曲线以直线K=1为对称轴和渐近线。翼导卷绕方式的筒管转速(实线)始终比管导卷绕方式的筒管转速(虚线)要低;捻度t越小,nG与nY的差距越大。随着卷绕直径的增大,nG与nY的差距趋小,但翼导卷绕方式的最高筒管转速(大纱时)仍比管导卷绕方式的最低筒管转速(大纱时)为低。在t=40捻/m的条件下,一落纱中管导卷绕方式比翼导卷绕方式的筒管转速平均要高23.5%(卷装直径为120 mm)到20.4%(卷装直径为150mm)。    

3  翼导卷绕方式能显著地减小离心张力
    笔者曾推导出,离心张力与筒管转速的平方成正比。设翼导卷绕方式与管导卷绕方式的离心张力之比为KT,则有:

    由图3可以看出,KT恒小于1;捻度越小,张力比KT越小。当粗纱定量较重时,相应的捻度也较小,因此在粗纱重定量、小捻度这种对管导卷绕方式最不利的情况下,翼导卷绕方式却能显著地减小粗纱机纺纱时粗纱的离心张力。在t=40捻/m、相同锭速的条件下,在起始卷绕(Do=45mm)时,翼导卷绕方式与管导卷绕方式粗纱的离心张力之比为48.9%;在满纱(DM=150 mm)时为80.9%。因此,在离心张力相同的条件下,采用翼导卷绕方式比采用管导卷绕方式的锭速可以提高更多。令Kc代表相同离心张力时翼导卷绕方式锭速nY与管导卷绕方式锭速nG之比,显然

    计算结果表明,在离心张力相同、t=40捻/m和满纱的条件下,翼导卷绕方式比管导卷绕方式的锭翼转速可提高12.5%(卷装直径为120 mm)到11.2%(卷装直径为150 mm)。
4翼导卷绕方式几个问题的讨论
4.1能耗均衡问题
    有人认为,“随着卷绕直径的增加,管纱重量随之增大,当采用管导方式时,管纱卷绕直径越大,其转速越小,动力消耗较均衡,回转亦较稳定;当采用翼导方式时,卷绕直径越大,筒管转速越高,动力消耗不均衡,这个问题可以从定轴转动刚体的动能来研究。

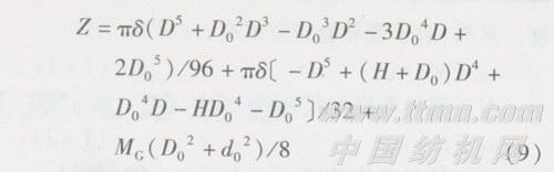
    其中,E为整个管纱(含筒管)绕锭轴旋转的动能;Z为整个管纱的转动惯量;ω为管纱的转动角速度。显然E除以传动效率就是使管纱以速度ω旋转所需的动力消耗。根据转动惯量计算公式和管纱尺寸(见图4)可求得:

    其中,δ为管纱(粗纱部分)的平均体积质量(卷绕密度);MG为筒管的质量;Do为空管直径;D为卷绕直径;H为管纱高度;do为筒管的内孔直径(如图4所示)。

    由图5、图6分析表明:
    (1)根据(5)式、(8)式,可计算出一落纱管导卷绕方式比翼导卷绕方式的平均管纱能耗高45.0%(卷装直径为150 mm)。
    (2)大纱(卷装直径为150 mm)与小纱(空管)的能耗比是翼导卷绕方式大于管导卷绕方式(t=40捻/m时为189.5/114.3),但大纱与小纱的能耗差却是翼导卷绕方式小于管导卷绕方式(t=40捻/m时是75.2J/92.7J)。造成这一结果的主要原因是空管能耗翼导卷绕方式远小于管导卷绕方式(0.40J/0.82J)。
    (3)进一步分析表明,一落纱中管纱动能不均匀主要是由管纱转动惯量不均匀所造成的,卷绕方式的影响约占转动惯量影响的17.9%。因此不能认同两种卷绕方式的能耗均衡性有根本性的差异。
4.2回转稳定问题
    有人提出,翼导卷绕方式“因筒管转速随卷绕直径的增加而增加,如果卷装动平衡条件不良,大纱时更增加了回转的不稳定性”。这个问题可从两个方面分析。
    (1)如前所述,翼导卷绕方式的筒管转速,始终比管导卷绕方式的筒管转速要低;翼导卷绕方式最高的筒管转速(大纱时)仍比管导卷绕方式最低的筒管转速(大纱)要低。因此,上述说法是难以成立的。相反,由于在同一锭速下翼导卷绕方式的筒管转速较低,这更有利于回转的稳定。
    (2)如果卷装动平衡不良,则在运行中会产生力偶矩M(见图4),M=F•l,F为离心惯性力、l为力偶臂;而F=,meω2/2,m为管纱质量,e为管纱质心偏心距,ω为筒管角速度。即有:

    由(13)式可知,翼导卷绕方式与管导卷绕方式的不平衡力偶矩之比KM等于翼导卷绕方式与管导卷绕方式的离心张力比KTo可见在不平衡质量及其偏心距相同的情况下,就其产生的不平衡力偶矩来说,在一落纱中不论卷绕直径的大小,总是翼导卷绕方式优于管导卷绕方式。或者说,翼导卷绕方式的回转稳定性更好一些。
4.3关于翼导方式开车的断头问题
    由于老式粗纱机电机到筒管的传动链比到锭翼的传动链要长得多,传动累积间隙也大得多,因而在启动的瞬间,筒管滞后,造成卷绕段粗纱被拉细乃至断头而不能正常开车,但在现代高速粗纱机上,大都为多电机、多轴、微型计算机控制同步驱动的条件,这个问题可以得到完全解决。
4.4  关于翼导卷绕方式断头易发生乱头和飞
    花问题
    这是由于翼导卷绕方式断头时,卷装纱条的自由端逆向“迎风”运动而造成,但断头属偶发事件,可以通过提高断头自停装置的灵敏度或改进锭翼设计以形成环绕卷装的“顺风”来解决,但确实需要试验和实践来证明。
5  结论
    解决高速粗纱机大纱时卷绕层易崩裂的问题,不能局限于降低粗纱机的速度,以求“恒离心力”纺纱的模式。采用翼导卷绕方式,不但能显著降低粗纱机纺纱过程中粗纱的离心张力,而且可以减轻磨损、降低能量消耗。传统的教科书就棉纺粗纱机的翼导卷绕方式列举了四个问题,其中关于能耗不均衡和回转不稳定的提法是缺乏根据的;开车断头在现代高速微型计算机控制的粗纱机上是可以解决的;断头时易发生乱头和飞花的问题是可能解决的。由于采用翼导卷绕代替管导卷绕方式对提高机器生产率、减轻磨损、节约能量消耗都是有益的,因而值得认真开发和研究。
                        打印页面】【收藏此页】【 】 【关闭
 
上一篇:以色列纺织品出口上升了6.5%
 
下一篇:2013中国·柯桥纺织品印花工业展览会
 
 相关新闻               更多>>
·质量服务于社会 用品质超越用户的期望
·杜绝拷贝 自我创新 走出克罗斯罗尔自己的路
·金运激光成功登陆A股市场
·以科研创新为先导 创世界一流印花品牌
·以创新为先导 造国内纺机业尖端
·科技为动力 创新争市场 质量保信誉 管理增
·开创新型蒸纱机 造国内蒸纱行业革新
·节能为主 环保同行 共奏绿色乐章
·以节能为宗旨 为印染行业创新型环保目标
·电脑横机产量第一 市场占有率行业第一
·第十二届中国(义乌)国际袜子、针织及染整机械展览
·烟台永昌精密织针有限公司
 
 最新资讯               更多>>
·2013中国·柯桥纺织品印花工业展览会
·五年磨砺,广州印花展打造行业口碑
·2011中国(柯桥)国际纺织品展览会
·行业焦点:淘汰老式生产设备
·上海天佑逆势飘红成功造就体制改革
·质量服务于社会 用品质超越用户的期望
·杜绝拷贝 自我创新 走出克罗斯罗尔自己的路
·金运激光成功登陆A股市场
·以科研创新为先导 创世界一流印花品牌
·以创新为先导 造国内纺机业尖端
·科技为动力 创新争市场 质量保信誉 管理增效益
·开创新型蒸纱机 造国内蒸纱行业革新
 
 纺机网免责声明TTMN.COM
1、本网所刊转的与机械相关的信息和专题旨在传递更多行业信息之目的,版权均归著作权人或页面内声明的版权人所有。本站对纺机网上刊登之所有信息不声明或保证其内容之正确性或可靠性,您于此接受并承认信赖任何信息所生之风险应自行承担。
2、为避免纠纷,未经书面协议授权,谢绝其他网站等有关信息服务企业予以转载使用。如果其他媒体、网站或个人转载使用,必须保留本网注明的“稿件来源”,并自负法律责任。
3、此外,在中国著作权法等有关法律规定允许的范围内,本网站有部分信息是从内容合作方、免费资源提供方转载、摘编获得的。在摘编网上稿件时,由于网络的特殊性,无法及时确认稿件作者并与作者取得联系。如果您发现本网站使用了您拥有著作权的作品并对我们的编辑方式有异议,请向我们提供您的身份证明及您对该作品拥有著作权的有关文件,我们会尽快根据中国相关法律妥善处理。
 
 
 新闻排行榜              更多>>
2013中国·柯桥纺织品印花工业展览会
五年磨砺,广州印花展打造行业口碑
2011中国(柯桥)国际纺织品展览会
行业焦点:淘汰老式生产设备
上海天佑逆势飘红成功造就体制改革
质量服务于社会 用品质超越用户的期望
杜绝拷贝 自我创新 走出克罗斯罗尔
金运激光成功登陆A股市场
以科研创新为先导 创世界一流印花品牌
以创新为先导 造国内纺机业尖端
科技为动力 创新争市场 质量保信誉
开创新型蒸纱机 造国内蒸纱行业革新
 
 图片新闻
 
余姚市立信纺织机械厂
 
十八年创业,十八年风雨,十八年收获,身为中国纺织协会会员企业的立信纺机,以高标准创造业绩,高品质创造品牌,高质量提高效益...
 
余姚纺织机械有限公司
 
余姚纺织机械有限公司地处浙江省著名的文献名邦——宁波余姚市,有着良好的地理环境和便捷的交通优势,...
 
乙光精机厂股份有限公司
 
公司名称:乙光精机厂股份有限公司樹脂定型机自動對線剖布机吹氣式圓筒布整理机SE1 - F剪毛机SE1剪毛机SF1平幅预缩...
 
宜兴市宜丰染整机械有限公司
 
公司名称:宜兴市宜丰染整机械有限公司宜兴市宜丰染整机械有限公司简介   宜兴市宜丰染整机械有限公司是专业制造各...
 
扬州市盛美印纺机械有限公司
 
公司名称:扬州市盛美印纺机械有限公司扬州市盛美印纺机械公司是一家专业从事磨毛机及其它印纺配件生产的机械企业. 我公司地处...
 
纺纱机械 开清棉 梳棉机 精梳机 并条机 粗纱机 细纱机 纺纱机 络并捻 织造机械 剑杆织机 喷气织机 整经机 浆纱机 提花机 织带机 化纤机械 化纤成套设备 化纤通用设备 针织机械 圆纬机 横机 经编机 袜机 手套机 钩编机 非织造机械 成网机械 非织造布单机设备 非织造布生产线 纺织器材 钢领 锭子 罗拉 摇架 上销 锡林 钢筘 针布 橡胶
染整机械 染色机 印花机 蒸箱 轧车 烘燥机 印染后整理 联合机 验布机 纺机自动化 变频器 传感器 继电器 纺织仪器 纺织配件 纺纱配件 无梭织机配件 针织配件 印染配件
关于TTMN | 营销服务 | 加入TTMN | 企业建站 | 本站声明 | 关于支付 | 联系我们 | 网站地图 | 友情链接 | TTMN刊物 | 行业看TTMN
服务热线:027-8787 4011 服务传真:027-8725 5755 工博网
24小时客服:189 7135 6279 QQ:3186169641
邮 箱:ttmn@ttmn.com 版 权:Copyright (c) 2017  纺机网 WWW.TTMN.COM