王兟 崔 萍 张建平 (东华大学)
1 测定道夫转移率的意义
道夫转移率与锡林分梳强度和成纱质量有密切的关系。若道夫转移率过高,锡林分梳强度太弱,纤维梳理不充分,混和不均匀,成纱的强力和条干、千米粗节数会明显恶化;若道夫转移率过低,锡林分梳强度过强,会造成纤维损伤,形成短绒剧增,同样会影响成纱条干和强力、千米细节数等。特别是因转移率过低,会造成纤维分梳时的反复多次搓揉,使长纤维形成大量棉结。早在20世纪五六十年代,人们已开始重视道夫转移率的问题。国外学者De.Swan研究了道夫转移与分梳的关系以及道夫速度、直径、梳针角度、锋利度对道夫转移和锡林负荷的影响。国内学者张文庚等提出纤维在锡林盖板间反复转移理论,并建立了续方程式。保允言对道夫转移过程作了初步的力学分析,测定了道夫与锡林隔距、针布号数及锋利度、前下罩板出口隔距对道夫转移率的作用,对锡林负荷的影响。薛庆时曾用红白纤维测定梳理过程中平均梳理时间和凝聚系数,说明道夫转移与均匀混和作用的关系。因此,正确进行道夫转移率的测定与计算,是梳棉工艺研究的基础工作,十分重要。
关于道夫转移率的测定与计算,国内外学者已作了很多的研究工作,例如英美采用克雷洛夫法和考夫曼法测试方法,日本名古屋大学原以和久、田中贤治提出的两种测试法。苏联的U.X·布都洛维奇设计的特殊装置测定道夫转移率。国内的沈天飞提出了"附加纤维量分配法"测定道夫转移率。
在上述研究的基础上,本文对道夫转移率的
测定与计算也进行了研究。
2 稳态过程模型的转移率
2.1f(t)和φ(t)的定义
喂人梳棉机的纤维经刺辊的开松、分梳,由锡林与刺辊间剥取作用而使纤维从刺辊向锡林转移。然后进入锡林盖板间梳理工作区被锡林盖板交替分梳,再由锡林带出至前三角区,纤维受到锡林道夫之间梳理作用,一部分纤维被转移至道夫,而另一部分纤维和锡林从刺辊上新剥下来的纤维混和,重新进入锡林盖板间梳理工作区和前三角区,重复上述的梳理和转移过程。因此,同一时间喂人的纤维是在不同时间按一定比例转移给道夫的;也即某一时刻道夫所输出的棉网是由前不同时刻锡林剥取的刺辊纤维按一定比例结构组成。显然,此比例值是个随机变量,可用统计数学描述。
现定义f(t)是锡林某转从刺辊获得的纤维在今后锡林t转过程中转移至道夫的概率密度函数,其相应的分布函数φ(t)为:

φ(t)通常称为棉条变粗或变细曲线。
2.2 转移稳态过程模型
假设道夫的转移率r为常数,取q=1-r,q为锡林残留率,锡林一转从刺辊得到的纤维量为W,且今后不再有纤维喂人,喂人量等于输出量,此过程的描述可见表1。

从表1可知
f(t)=r·qt-1 (1)
根据上式可得到

将r=1-q代人,得
φ(t)=1-qt (2)
(1)式和(2)式表示转移率r为常数时,纤维从锡林向道夫转移的数量变化过程。
3 道夫转移率的测定与计算
3.1 道夫转移率的测定与计算原理
本文采用在梳棉机正常运转下,停止给棉和盖板转动,收集道夫输出的逐渐变细的纤维条,将其按10 cm切断称重分别为Qdl,Qd2,……,Qdn,按表1中纤维从锡林转移到道夫的纤维量数值关系有:

对上式两边取对数,得到

第i个样本点锡林转数ti的计算公式为:ti=Li/V·nc
式中:ti为第i个样本点锡林转数,Li为第i个样本点纤维条的累计长度(cm),V为大压辊的线速度(cm/min),nc为锡林转速(r/min)。由公式(3)、(4)作图1如下。

计算得ti与lgQdi相对应,在重复试验过程中lgQdi存在随机性波动,为了正确求得g值,可采用统计数学的计算方法,求得图1中的斜率lgq。
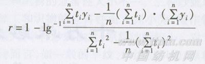
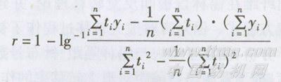
取yi=lgQdi为样本点
则有

因此,有

由于采用统计数学计算方法,本测试方法与国内外其他方法相比,操作简单,计算值稳定。
3.2 实例
上海第19棉纺织厂对9.7 tex长绒棉精梳纱梳棉机转移率的测定情况见表2。

注:锡林转速nc为319 r/min,大压辊输出线速度y为5348.6cm/min。
按表2中实测数据,可计算得
lg q= -0.0528,q=0.886
r=1-q=11.40(%)
在上海第19棉纺织厂中,同机台、同工艺条件实测转移率计算值的波动范围在-0.17%~0.17%内,相当稳定,具有良好的重现性。
综上所述,道夫转移过程及道夫转移率可用以下公式表达:
(1)当道夫转移率r为常数时,可用下列公式来描述锡林向道夫转移过程
f(t)=r·qt-1
φ(t)=1-qt
(2)本文介绍道夫转移测定和计算方法较简单,且计算数值较稳定。道夫转移率r的计算公式为:
