
无锡锡荣纺织机械有限公司 陈中立 (专业工程师)
钢领钢丝圈配套知识简介
一、一般传统配套,使用钢领品种粗支纱采用PG2钢领,中支纱采用PG1,钢领,细支纱采用PG1/2钢领,钢领的内径,细纱纺纱时断头越少,毛羽也越少、但卷装也越小,每落纱时间也越少,劳动力就越多,所以各厂均根据二者兼顾的原则一般粗支采用45X54、42X 54,中支选用42X54,细支纱选用38X54,甚至35X54,直纺纡纱均选用35X54(因细纱用纬纱管纺纱,直接放入木梭内织布的)
二、粗支纱一般是指6s~18s(即公制97—32号)中支纱一般是指20s~36s(即公制29~16号)细支纱指的是40s~80s(即公制15~7.3号)一般80s以上称特细支纱以用PG1/2钢领配新oss钢丝圈为多数。
三、随着纺织技术的不断发展探索,现在也有PG1纺粗织纱和细支纱的,主要原因如下:
(1)PGl是高速钢领,配套相应钢丝圈后纺粗支纱,运转性能平稳,除纱线通道欠小外,车速、断头均比用PG2(普通钢领)纺纱要好些,特别是16s~18s等。较细的粗支纱上采用PGl钢领较多。
(2)PG,钢领由于内跑道面积、形状比PG1/2耐磨,不易衰衰退,使用寿命较长,以前用它纺细支纱无相应的钢丝圈相配合,自从无锡纺器推出了9803(原6903小圈形)后(自9803 13/0—18/0)从此在江苏、上海等地用PGl配9803纺细支(40s—80s )采用的厂家越来越多,优点是纲领使用寿命长,纺纱毛羽较少,便于中,细支之间品种反改可不调或少调钢领。
四、一般配钢丝圈是按下列原则相配的:
(1)、PG2钢领纺粗支纱时,可配用G型,O型,G0型或W型钢丝圈其中纺棉时配G型据多。O型为通道大,但重心最高不宜高速,w型重心较低,但通道较小,拎头较重,较粗的粗纱不宜(要当心缠绕小直径时纱条被钢丝圈磨损位置割断或刮细、刮毛)GO型
(2)PGl钢领(原名JG4、6603)纺纱时可配6903、6802、FO钢丝圈纺中支纱,其中6802通道较宽畅,FO重心低,运转平稳可适应高速,但拎头较重,6903、由于背上开了一个天窗,通道宽敞且重
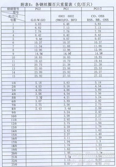
(3))PGl钢领纺细支纱时一般可配用9803、13/0~18/0,具体重量号可按原来纺细支时用PGm钢领配用OSS或Rss时的钢丝圈号数(如9/0)的实际百只克重数(如2.43克/百只)对应至9803、2.43克/百只为14/0,见各种钢丝圈百只克重表(附表一)选取。
五、当用PGl钢领纺制化纤品种或化纤与棉的混纺品种,由于化:纤熔点较低,新钢丝圈上车时在走熟期内发热量较大,温升较多,容易造成较多的熔断头(特别是车速较高,圈装较大时)最好采用薄弓形或瓦棱形截面的钢丝圈(如BFO、BU、BK、FU、GO、B6802、BS0等)同时在纺制混纺纱时需按化纤的比例加重钢丝圈重量与纯棉相比较,每加 20%化纤则加重1挡钢丝圈重量。如T/C(65/35)45s就比纺纯棉45s 、配用用6903、10/0,加三挡后用6903、7/0钢丝圈。
纯化纤比纯棉加重5档。如T45s纯绦需用6903、5/0钢丝圈等(或用BF05/0)
六、当用PG1/2钢领纺细中支纱时(30s~40s)也可配用cO钢丝圈,比配用Oss通道宽畅,拎头轻且重心低适应高速平稳,采用厂家亦较多。

